Система заземления ТТ

Вопросы, связанные с устройством и монтажом заземления и зануления. Системы заземления и системы уравнивания потенциалов (СУП), молниезащита, грозозащита и т.п.
Аватара пользователя
elalex
Сообщения: 7423
Зарегистрирован: 21 июл 2015, 08:08
Репутация: 591
Откуда: [email protected]
Контактная информация:

Система заземления ТТ

Сообщение elalex » 05 сен 2017, 17:52

1.Сварка электрике дома ни к чему, достаточно резьбовых соединений.
2.Вполне возможны утечки в десятки миллиампер от аппаратуры в доме, трубу разрушат быстро - навряд ли.
3.Постоянная утечка может быть и при работе насоса.
4.Можно поставить катодную защиту трубы.
5.Для заземлителя ТТ 0,5м трубы достаточно.
6.Обычно используют, как заземлитель, обсадную трубу, по которой вода не идет. А как это у вас труба с водой? Как у вас устроено это дело?
Одиночный свободный электрик
Опыт ремонтов квартир 20лет
Высшее электрическое образование
Бывший инженер-электрик
Пенсионер
64 года
Пишу для владельцев частного жилья
Запасной E–mail для россиян: [email protected]
Реклама
Аватара пользователя
IliaBkmz
Сообщения: 388
Зарегистрирован: 17 окт 2016, 14:03
Репутация: 32
Откуда: Балашиха
Контактная информация:

Система заземления ТТ

Сообщение IliaBkmz » 06 сен 2017, 00:58

elalex, заземление у меня будет по сваям фундамента...
Труба о которой шла речь - скважина от насосной станции... Через насос - она получается как еще один заземлитель с другим потенциалом...
В общем, как решение- объединю ее общим медным проводом со сваями болтовым соединением и проблем точно не будет...


Вопрос: до щитка от заземления- можно ввести землю медным проводом а не шиной?
Аватара пользователя
elalex
Сообщения: 7423
Зарегистрирован: 21 июл 2015, 08:08
Репутация: 591
Откуда: [email protected]
Контактная информация:

Система заземления ТТ

Сообщение elalex » 06 сен 2017, 01:54

1.Что с чем собираетесь соединить - понятно.
2.Никаких проблем с объединением или необъединением я не вижу.
3.Обьединение не повредит, но ничем ничему и не поможет. Оно просто лишнее. Потратьте лучше силы и материалы на что-нибудь более существенное, у вас в доме полно электрических проблем.
4.Что такое "вести землю шиной" - не знаю.
Одиночный свободный электрик
Опыт ремонтов квартир 20лет
Высшее электрическое образование
Бывший инженер-электрик
Пенсионер
64 года
Пишу для владельцев частного жилья
Запасной E–mail для россиян: [email protected]
Аватара пользователя
IliaBkmz
Сообщения: 388
Зарегистрирован: 17 окт 2016, 14:03
Репутация: 32
Откуда: Балашиха
Контактная информация:

Система заземления ТТ

Сообщение IliaBkmz » 06 сен 2017, 13:54

elalex писал(а):Источник цитаты Оно просто лишнее. Потратьте лучше силы и материалы на что-нибудь более существенное, у вас в доме полно электрических проблем.

И не только электрических... в общем, спасибо, мысль ясна.
elalex писал(а):Источник цитаты Что такое "вести землю шиной" - не знаю.

Я имел ввиду так (может это по другому называется):
14_a03dd01a39517fb7360f3dacf4ec243e.jpg


А я хочу одножильным медным проводом...
ПАВ
Сообщения: 7647
Зарегистрирован: 13 авг 2015, 19:54
Репутация: 923
Откуда: Одесса
Контактная информация:

Система заземления ТТ

Сообщение ПАВ » 06 сен 2017, 14:01

Хотите, что мешает- профиль проводника? Так для 50 Гц это не существенно. Сечение выбирайте нормально и только.
В жизни все не так, как на самом деле...
Аватара пользователя
elalex
Сообщения: 7423
Зарегистрирован: 21 июл 2015, 08:08
Репутация: 591
Откуда: [email protected]
Контактная информация:

Система заземления ТТ

Сообщение elalex » 06 сен 2017, 14:14

IliaBkmz, Незащищенным проводом нужно побольше - 4кв, защищенным - поменьше - 2,5кв к распред.щитку. Я бы вел ВВП-1 2х1,5 до ближайшей розетки, но нужно это запомнить.
Одиночный свободный электрик
Опыт ремонтов квартир 20лет
Высшее электрическое образование
Бывший инженер-электрик
Пенсионер
64 года
Пишу для владельцев частного жилья
Запасной E–mail для россиян: [email protected]
ПАВ
Сообщения: 7647
Зарегистрирован: 13 авг 2015, 19:54
Репутация: 923
Откуда: Одесса
Контактная информация:

Система заземления ТТ

Сообщение ПАВ » 06 сен 2017, 14:32

elalex писал(а):Источник цитаты IliaBkmz, Незащищенным проводом нужно побольше - 4кв, защищенным - поменьше - 2,5кв к распред.щитку. Я бы вел ВВП-1 2х1,5 до ближайшей розетки, но нужно это запомнить.


И что даст это "до ближайшей розетки"? А как другие розетки? Вы же противник последовательного заземления, а тут- такое?
В жизни все не так, как на самом деле...
Аватара пользователя
elalex
Сообщения: 7423
Зарегистрирован: 21 июл 2015, 08:08
Репутация: 591
Откуда: [email protected]
Контактная информация:

Система заземления ТТ

Сообщение elalex » 06 сен 2017, 14:48

А у меня в шлейфе заземление розеток сделано не последовательно, а отводками от магистральной линии. Даже если одна розетка сгорит и вывалится, остальные останутся с заземлением.
Одиночный свободный электрик
Опыт ремонтов квартир 20лет
Высшее электрическое образование
Бывший инженер-электрик
Пенсионер
64 года
Пишу для владельцев частного жилья
Запасной E–mail для россиян: [email protected]
Аватара пользователя
Восток
Сообщения: 850
Зарегистрирован: 30 янв 2016, 18:07
Репутация: 429
Контактная информация:

Система заземления ТТ

Сообщение Восток » 06 сен 2017, 15:13

elalex писал(а):Источник цитаты Незащищенным проводом нужно побольше - 4кв, защищенным - поменьше - 2,5кв к распред.щитку.

От заземляющего устройства до ГЗШ нужно все же смотреть ПУЭ
1.7.117. Заземляющий проводник, присоединяющий заземлитель рабочего (функционального) заземления к главной заземляющей шине в электроустановках напряжением до 1 кВ, должен иметь сечение не менее: медный - 10 мм2, алюминиевый - 16 мм2, стальной - 75 мм2
Аватара пользователя
elalex
Сообщения: 7423
Зарегистрирован: 21 июл 2015, 08:08
Репутация: 591
Откуда: [email protected]
Контактная информация:

Система заземления ТТ

Сообщение elalex » 06 сен 2017, 15:23

Как известно, ПУЭ частному лицу - не указ. У ТС, надеюсь, не такая дурная ситуация, как предполагает ПУЭ.
Одиночный свободный электрик
Опыт ремонтов квартир 20лет
Высшее электрическое образование
Бывший инженер-электрик
Пенсионер
64 года
Пишу для владельцев частного жилья
Запасной E–mail для россиян: [email protected]
Аватара пользователя
Восток
Сообщения: 850
Зарегистрирован: 30 янв 2016, 18:07
Репутация: 429
Контактная информация:

Система заземления ТТ

Сообщение Восток » 06 сен 2017, 15:54

elalex писал(а):Источник цитаты Как известно, ПУЭ частному лицу - не указ.

Ну. ну. Вы как слепой поводырь, всех под монастырь подводите.
Аватара пользователя
Восток
Сообщения: 850
Зарегистрирован: 30 янв 2016, 18:07
Репутация: 429
Контактная информация:

Система заземления ТТ

Сообщение Восток » 06 сен 2017, 16:00

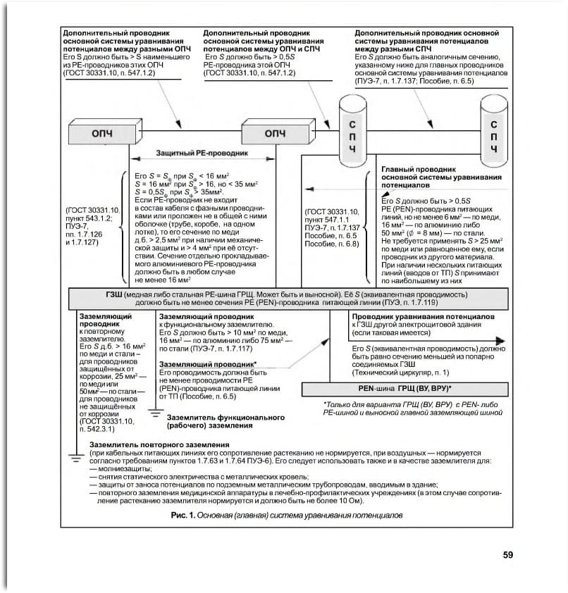
Вот сечение проводников для основной системы потенциалов
Основная система уравнениея потенциалов.jpg
Аватара пользователя
elalex
Сообщения: 7423
Зарегистрирован: 21 июл 2015, 08:08
Репутация: 591
Откуда: [email protected]
Контактная информация:

Система заземления ТТ

Сообщение elalex » 06 сен 2017, 16:35

Как-то я написал тему:
О необязательности выполнения ПУЭ потребителями и частными электриками
viewtopic.php?t=820
Текст ПУЭ можно скачать целиком, а можно и по частям. По поиску "ПУЭ гл.1.1" можно найти, например, такое:
http://www.konstalin.ru/?StartID=110
Там есть предисловие к ПУЭ, приведенное в приказе о введении его в действие:
Требования Правил устройства электроустановок обязательны для всех организаций независимо от форм собственности и организационно-правовых форм, а также для физических лиц, занятых предпринимательской деятельностью без образования юридического лица.

В скачивании целиком - такого нет.
Оба варианта - против действительности ПУЭ для частных лиц.
- В частном скачивании гл.1.1 это видно явно.
- В полном скачивании весь текст ПУЭ юридически неграмотный - там не указан субьект этого документа. Другими словами, не указано, на кого он распространяется. Указан только обьект этого права - электроустановки.
Последний раз редактировалось elalex 07 сен 2017, 11:10, всего редактировалось 6 раз.
Одиночный свободный электрик
Опыт ремонтов квартир 20лет
Высшее электрическое образование
Бывший инженер-электрик
Пенсионер
64 года
Пишу для владельцев частного жилья
Запасной E–mail для россиян: [email protected]
Аватара пользователя
Восток
Сообщения: 850
Зарегистрирован: 30 янв 2016, 18:07
Репутация: 429
Контактная информация:

Система заземления ТТ

Сообщение Восток » 06 сен 2017, 16:52

Ну как для ВАС частного лица. Повторюсь почему в ПУЭ это требование.
Так как подвод в дом от опоры выполняется проводом СИП 2*16
То сечение проводника от ЗУ до ГЗШ должно быть 10 по меди и 16 по алюминию.
Такое требование аргументировано тем что бы при коротком замыкании заземляющий проводник не отгорел.
Т.Е обусловленно термической стойкостью.
Аватара пользователя
elalex
Сообщения: 7423
Зарегистрирован: 21 июл 2015, 08:08
Репутация: 591
Откуда: [email protected]
Контактная информация:

Система заземления ТТ

Сообщение elalex » 06 сен 2017, 17:19

1.Насколько знаю, КЗ - это металлическое соединение проводников. А замыкание фазы на землю - это не КЗ.
Нужно очень постараться (поставить дубовый вводной автомат, сделать глубинное заземление 1 Ом и меньше), чтобы сжечь заземляющий проводник. Думаю, случаев такого перегорания в частном секторе с системами ТТ не зарегистрировано, и разработчики ПУЭ предусмотрели этот пункт исключительно для промышленных предприятий и организаций.
2.Раньше указывал, что иметь низкое сопротивление заземления - опасно при всех системах заземления. Поэтому рекомендую только систему ТТ с заземлителем 1м.
Одиночный свободный электрик
Опыт ремонтов квартир 20лет
Высшее электрическое образование
Бывший инженер-электрик
Пенсионер
64 года
Пишу для владельцев частного жилья
Запасной E–mail для россиян: [email protected]
ПАВ
Сообщения: 7647
Зарегистрирован: 13 авг 2015, 19:54
Репутация: 923
Откуда: Одесса
Контактная информация:

Система заземления ТТ

Сообщение ПАВ » 06 сен 2017, 18:29

elalex писал(а):Источник цитаты А у меня в шлейфе заземление розеток сделано не последовательно, а отводками от магистральной линии. Даже если одна розетка сгорит и вывалится, остальные останутся с заземлением.


А в данном, вами предлагаемом случае так??? Вы садите одну розетку на землю в надежде, что и все достанется? Оптимист, однако.
В жизни все не так, как на самом деле...
Аватара пользователя
elalex
Сообщения: 7423
Зарегистрирован: 21 июл 2015, 08:08
Репутация: 591
Откуда: [email protected]
Контактная информация:

Система заземления ТТ

Сообщение elalex » 07 сен 2017, 01:56

1.Да, оптимист. Пока мою проводку не трогают - будет работать.
2.Кто не верит моему способу подключения заземления - пусть ведет землю в распред.щиток.
Одиночный свободный электрик
Опыт ремонтов квартир 20лет
Высшее электрическое образование
Бывший инженер-электрик
Пенсионер
64 года
Пишу для владельцев частного жилья
Запасной E–mail для россиян: [email protected]
ПАВ
Сообщения: 7647
Зарегистрирован: 13 авг 2015, 19:54
Репутация: 923
Откуда: Одесса
Контактная информация:

Система заземления ТТ

Сообщение ПАВ » 07 сен 2017, 08:31

Если смотреть внимательно на картинку соединения розеток вашим патентованным методом, то отличие только одно- U-образный земляной проводник скручивается, а U-образные силовые сделаны простой петлей. В чем смысл скрутки, чем она лучше и надежнее петли? В чем смысл защитного заземления, если оно подключается к крайней точке системы питания? Чем гарантируется надежность заземления в вашей схеме в остальных точках? НИЧЕМ! Что делать, если потребитель купил розетки, не позволяющие применить вашу патентованную закрутку?
В жизни все не так, как на самом деле...
Аватара пользователя
elalex
Сообщения: 7423
Зарегистрирован: 21 июл 2015, 08:08
Репутация: 591
Откуда: [email protected]
Контактная информация:

Система заземления ТТ

Сообщение elalex » 07 сен 2017, 08:45

1.Смысл скрутки РЕ в том, что при отваливании винта заземления - последующие розетки заземление не теряют.
2.Место подключения заземления к сети РЕ в моей схеме особой роли не играет.
Одиночный свободный электрик
Опыт ремонтов квартир 20лет
Высшее электрическое образование
Бывший инженер-электрик
Пенсионер
64 года
Пишу для владельцев частного жилья
Запасной E–mail для россиян: [email protected]
ПАВ
Сообщения: 7647
Зарегистрирован: 13 авг 2015, 19:54
Репутация: 923
Откуда: Одесса
Контактная информация:

Система заземления ТТ

Сообщение ПАВ » 07 сен 2017, 13:52

elalex писал(а):Источник цитаты 1.Смысл скрутки РЕ в том, что при отваливании винта заземления - последующие розетки заземление не теряют.

Похоже, вы не понимаете того, что сами делаете! А два других проводника, такие же по форме начальной, но не скрученные с какого перепугу от чего-то отвалятся? От сования вилки туда-сюда? Так в быту основная масса приборов вообще не имеют заземляющего штыря, или вы не в курсе??? Ну разве что утюг, и тот не всегда с землей, ну компьютер, а остальное?
В жизни все не так, как на самом деле...


  • Реклама

Вернуться в «Заземление и молниезащита»

Кто сейчас на конференции

Сейчас этот форум просматривают: нет зарегистрированных пользователей и 12 гостей