Нужна помощь по контрольной по ТОЭ

Обсуждение вопросов по теории электротехники.
GXGSG
Сообщения: 1
Зарегистрирован: 16 май 2024, 22:02
Репутация: 0
Контактная информация:

Нужна помощь по контрольной по ТОЭ

Сообщение GXGSG » 16 май 2024, 22:25

Здравствуйте! Я учусь на 1 курсе на электрика и нам преподаватель задал контрольную. В семье нет электриков, поэтому обращаюсь сюда. Я уже, по моему, испробовал все методы, но у меня не сходится разница потенциалов. Прошу помощи. Могу скинуть фото своих решений. Фото задачи прилагаю
Вложения
-mVA_SQ7yeE.jpg
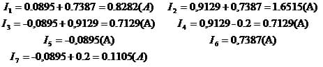
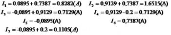
Токи
WINWORD_FYSZVOr6Jt.png
Тут я ищу потенциалы через Закон Ома(Оставшаяся часть решения+ответ)
mQn2E1Ectt.png
Тут я ищу потенциалы через Закон Ома(Схема + часть решения)
firefox_spkrMGKIfo.png
Тут я ищу потенциалы через МУП(Ответ)
firefox_spkrMGKIfo.png (6.65 КБ) 4953 просмотра
firefox_j4Ve4LMDdT.png
Тут я ищу потенциалы через МУП(расчёты)
firefox_HPIpdlwPuw.png
Тут я ищу потенциалы через МУП(схема)
Реклама

  • Реклама

Вернуться в «Электротехника»

Кто сейчас на конференции

Сейчас этот форум просматривают: нет зарегистрированных пользователей и 5 гостей